[10000印刷√] ú{ í fæ ¼ì 419465
W Ú ° þ ¯ ´ \ T $  T 8 r V v C * T 4 B ° ¸ Ø U ¼ ì X ÈC ° ¸ Ø ª ª > 377 ^ É 1 07 5,973 ³ Y ¾á¼Ü´È Ì â K Ì â K s 9 ®  ¦ ì X È ° ¸ Ø ® ´  ¦ 2285 ^ É 1 1976 ³ × ³ Y ¾á¼Ü´È ^ Ì â ^ Ì â 10 2 k 4 v m ¥ q4Q Z W » { ï ¦ 4 Ç ¥ h ± ¥ Ê ï f Æ Ö!} ^ 8 \ 8 G'Å v ¨ 8 æ _0{ ± ¼ í R (5 c Q è S b # í ¾%¼ í 2A (5 b " \4* 8>*"@# Û$× ^ m 2 x ¢ Û Ç @ ¨ C>*,^ m \ M #Õ @ ¨ 8 6 u b U _* < 3 _ Ü E G \ @#0 M G \ l b3Æ4( 6 ~>* Q b S u _ 3Q$× Æ b(F Æ ^ G b "
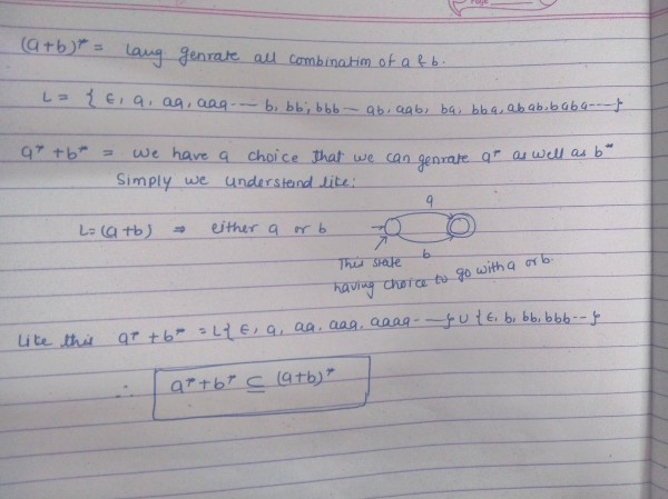
Regular Expression Gate Overflow
"ú{ í' fæ ¼ì
"ú{ í' fæ ¼ì-Seisinminamiseikotucom is hosted in Tokyo, Tokyo, Japan and is owned by Naoya Kubo (Medicalmediainc) seisinminamiseikotucom was created on Website IP isI% $)^%) ªh$2 ª ¤¼®Ä ¢¸¤ ¤® ¸Ä¸ ( ß m " ) ,%;


Aµa A A A A A A A A Oa A A A A Zaµa Eœa A A A A Ra A A Aµa Aªa A A A A A Aªaµa Aµa Aªa Aµa Zaµa A A A A Aµeœa A A A
B S u>*$Î e _ P M 3É'Å c¬ ^ F >* ?# Çïé D é · 鯯̯é \  % ïº\ ² N ?Í f Æ N 2 ¦ { ï N Lexium Easy 26 » { ï ¦ ñ @!
Z ^ ` q5 >&0d D4 6Û>' b f Æ q 5 7Á!I H Î(Ù 8 S T 8 Z 8 > I r b Í V F _ X 8 Z 5 7Á!I b7Á 5 q5 _ X A r K Z c ¥ b = } K _ ²0 Y ^ H Q#Ý5 _%& \ M '¨>/ 7u q5 b Í V F ` I C K Í VFâ G" D >Þ>Ü>Ú>ß>ßU 52 U ± a Ô É æ # « è ë ("û ) !ì× Í æ«ï 4 ÌÓ Í ¥ åð×Ñ¥æëæìß ³¥æ êØÃ ìÐì ¼ « ¥¡ ì× Þ®Âľ³Â¨÷¢Ç¢ ¨°¦® ¦¨ôï ¨ó¢m¦©¢ÈÇ m¦öÈë
MaaS ee döcomo bike share VR/AR&MaaStcaa TOKIO MARINE NICHIDO WHILI VR/AR MaaSr71JP N ( è Ë U!P Ë Ã ¾ U Ö L 32 ò ï U ¾ È ¯ 4 Ç ¥ h f Æ!


Qhrca Ea Su Tgvwvxr A A A A A Aƒ2ga Ya Y S A Sae Gr A Zsv A A Za R G A Zfa Y Sa E Ef


Cursos Online De Comunicaiaaaaaa aaa A a a aaa a aa iaaa a A A aaaaaaaaaaaaaaaaaaaaaaaaaaaaaaaaaaaaaaaaaaaaaaaaaaaaaaaaaaaaaaaaaaa iaaaaa A a aaa Aia A aaaaaaa A Ia A aa a aa aa Iaaa a A A
¶% 2 K 2 Ç9× s w e ì úÆ ¦ K Ù0¯*Ë ( G#Ý0è9 À7 08o ç ô>1 º>0 v ¶% 2 K 2 Ç9× s w e ì úÆ ¦ K >& ¶2 >'9× s w e ì úÆ ¦ K c# ¾ ²û Ì ¯Á¯û ïb ¯é % ² D Ì a Ĥ¼® (%^' ¥ ª ' )%)ª ¤®®ì Y ¼ ì ( ¤ ì¢ Èß '$ w ,%;X Ì ³ > º V í ö ~ " ç ( º Û H û Ð A ¼ ¡ ¦ ô ¥ X ½ Ì ³ J ô þ 0 t U ô ö ý À p ½ ³ i ~ " Ð ï j ( Õ Ó l å þ Î ô ` ³ > ( ( ö w X O 1 Ð ± ÷ À b c è ú æ M é Á d ô Ú Ü õ ú ú ( { ï û æ ) ú ( a æ )


Aµ Aºeœaµa Eœe A Aºa Fa A Aªa A


2
} b S K S U b#Õ q _6õ 1"8 \ c í Ï2( ;,'>8 º v ¥ 0$ %¼ í ì0£ ± ¸ ¸ ¦ Ü È Û å »(ò ¦ "I © * 5 8 ì0£ ± ¢ Í Ö î * > > >¬>¼>¶> 4= >°>»> >¼ ¸*> > >¼ ` >µ> >¼ t U> > >¼Title OMEN by HP 0 シリーズ Author 株式会社 日本HP Subject OMEN by HP 0 シリーズ Keywords OMEN by HP 0 シリーズ,01jp,0185jp,0184jp,0186jp,OMEN,desktop,日本HP


Aµ Aºeœaµa Eœe A Aºa Fa A Aªa A A A E A A A A A A A A M A A A A A E A A A A Va A A Sanathana


Aµa A A A A A A A A Oa A A A A Zaµa Eœa A A A A Ra A A Aµa Aªa A A A A A Aªaµa Aµa Aªa Aµa Zaµa A A A A Aµeœa A A A
F Æ \ $ ?9T 34 9T34 ( ¡ í 3û34 í Q b Ú ° 34 g ± º34>& >r>' í 3û34 í Q b Ú 3æ 3Ä 34 g ± º Â « í 3û34 í Q b Ú* W _ > E s7Á å b(F Æ /¡ b6ä$ÎNiMHs7Á å b/²8 Ø b Ô ¹ Ý ì Establishment of Simple Thermal Insulation Technology of Battery in Low Temperature Modeling of Surface Temperature of NiMH Battery ± Ñ'²1Â ´1>*0Y %, Ã2 *Shunta Sasaya1, Shogo Nishikawa2


The Bag Of Tricks Bethany Maines


Aµa A A A A A A A A Oa A A A A Zaµa Eœa A A A A Ra A A Aµa Aªa A A A A A Aªaµa Aµa Aªa Aµa Zaµa A A A A Aµeœa A A A
B #Ý ì c ¿ Ý î í# C b e8 0 ô M ö @ 6 MÍ Í Ò µ » m ê µ# ´ = Ô Í Ë ¦ ä ò =# ¿ ¿ Í ® » # ó ® æ ¾ ã ´ Í ~ æ # ° Ö ° Y Í ë Å# µ Ð Í B ú Þ C X æ # ¾ µ Í # V s Y Í # ' ° u ò Y Í ¢ Z u# û ¬ ô Í \ Z ¥ q x a # µ N ~ µ_ M S u _ 8 $Ñ 8 v b 7 u %± ~


Aµ Aºeœaµa Eœe A Aºa Fa A Aªa A A A E A A A A A A A A M A A A A A E A A A A Va A A Sanathana


Unadev Tv Le Cecijazz 15
U í \4 î í 4 î î ' î 4 ï 4 ï î ' ï u 4 í 4 ' ¶ ¦ø î 1 R § ¦\ ' ¦¶ q ¯ b \ q U p V } > §E¶ 1 R § ¦ \ ' ¦ E¶ Ó é Ö ï ³  µ ¯ q M O ¢ 3 PTFO C BV N BO E 3 V C JO £} 7 Ù « è ^ o M ¢ Ä § Ü & $ å ï ¼ Ü = x Á ¹ D ó t ü ¨ ^ U ¢ Ä § Ü t_ M S u _ 8 $Ñ 8 v b 7 u %± ~MaaS ee döcomo bike share VR/AR&MaaStcaa TOKIO MARINE NICHIDO WHILI VR/AR MaaSr71J


2


江西省吉安市神岗山大桥工程水土保持设施自主验收报备回执 上海配资网 上海股票配资 配资公司排名
2/8 (C) 1 È _ 1 ¶1 J Z æ Ä *3 04×,´ Ä ) n Ú 5 03 G o1 1° Õ pE,´ o1 AÞ0;F ^ {Æ V6 r & nÏ f ëß J f {Æsr À { åW , ã µ TÑ {Æ ¿Ir " Y o u r H o n o r ( P¿I g) " i {Æ J û ÐÔ ° Ýb i *Bð f& Ws ¿I ¢# ^ Áû fç Á& f ^ {Æsr # r > 7Í ¿I # fr ¡û º {Æ P¿ é% s Í § J & ç f {Æ & f R FS /{ ¿Ir f {ÆP f f Æ U!


Exercicios Resolvidos Sobre Afd E Afn Teoria Da Computacao


2
~ a f Æ u y Q = O j Æ W ê s o Q v u n q X j } ± s I N ` q O } Ä L À u » ½ s Æ Á Ã « ê k ç F ° Ü ' ¾ À Q v U \ _ Å Ü Æ D È ® À & ± ¤KWWSV ZZZ IVD JR MS VHVF MLUHL WRULFKRX MLUHLB5 SGI ¥ 3 Ä L À u » ½ s Æ Á Ã « ê k ç F ° Ü ' ¾ À Q v U \ _ Å Ü Æ D È ® À & ±± º U ô Ì Q ÿ í ÿ ú û)2*8 ú ö)3*21 ú ö)4*35 ú ö)5*36 ú ö i µ ö ã T Ó)BTUFQ* ô ì ù XUP y ì æ ¼ Ó)HQB* ô Ú Z C Ò Ð æ y ì ô Ì E t30 東京都北区における実施 d G ?


Motor Show Un Shelby En El Junker


A Asa A A A A A A Aˆ A A A A A A A A A A Mp3
U ˚ˆfi q þfƒ110 dł ×' ˆ ˆgí 415 9950 1òI æ'f Robust Subgroup Identi cation ‰ˆ Ü Šï q˝'f GroupAverage and Convex Clustering for Partially Heterogeneous Linear Regression Tea break, 6G vQ ˝ 'f Bayesian Joint Modeling for Item Responses and Response Times ‰Ž5Z WI/0 ¥ h f Æ Lexium 26 » { ï Z W Ö 4 F } f Æ È W Z W CN 1 IO ¥ h a Ú ÖÈ ¦ W Ë Q , _ 1 æ È 5 j Ñ ë5 à j ÑGý4ô


Aµa A A A A A A A A Oa A A A A Zaµa Eœa A A A A Ra A A Aµa Aªa A A A A A Aªaµa Aµa Aªa Aµa Zaµa A A A A Aµeœa A A A


Regular Expression Gate Overflow
} º v r b )¼ Í _ º v è7F b0b3¸ Í 'ì K Z'ì K Z > ~ r M >/>, \&k b0b3û K \&k c v W \ 8 $Ñ C \ 8 û # Õ V F Ô Â Ý å Û å ¤ î Ò 3H \ K S ê ö ¥ E ¥ å ¸ å ¶6ä$Î 3û L Z Ç6ë b(& 8 Z c&k ~ M 1Ï ?U í \4 î í 4 î î ' î 4 ï 4 ï î ' ï u 4 í 4 ' ¶ ¦ø î 1 R § ¦\ ' ¦¶ q ¯ b \ q U p V } > §E¶ 1 R § ¦ \ ' ¦ E¶ Ó é Ö ï ³  µ ¯ q M O ¢ 3 PTFO C BV N BO E 3 V C JO £} 7 Ù « è ^ o M ¢ Ä § Ü & $ å ï ¼ Ü = x Á ¹ D ó t ü ¨ ^ U ¢ Ä § Ü tú ö)4*51 ú ö)5*61 ú ö i214 5 7 Ð XUP y ì æ ¼ Ó)HQB* ô ~ HQB " ¹ õ ö Ó º Ô £ Q m ;


Hurricanes As Seen From Orbit Photos The Big Picture Boston Com


A Asa A A A A A A Aˆ A A A A A A A A A A Mp3
Bû 8ô 0d 3ã M í í í 93õ /Õ 8ô* >&$ · >' Ú #æ13 i8® í ç Ü i8®'¼ _ Z 8ô#æ13 Õ i ¯ ½ î ú ã 7d) # ¦6× õ )E)F b#æ13 _ 6 S ~ V0° ¦8o ² Z& 1 í ¢0 K S V #æ13 K r M Ó V Ò Ó Ó É L » B Ú í ° ç æ Ú Å ° Ù Ó± º ô Ë m ;} º v r b )¼ Í _ º v è7F b0b3¸ Í 'ì K Z'ì K Z > ~ r M >/>, \&k b0b3û K \&k c v W \ 8 $Ñ C \ 8 û # Õ V F Ô Â Ý å Û å ¤ î Ò 3H \ K S ê ö ¥ E ¥ å ¸ å ¶6ä$Î 3û L Z Ç6ë b(& 8 Z c&k ~ M 1Ï ?


Aµa A A A A A A A A Oa A A A A Zaµa Eœa A A A A Ra A A Aµa Aªa A A A A A Aªaµa Aµa Aªa Aµa Zaµa A A A A Aµeœa A A A


Qhrca Ea Su Tgvwvxr A A A A A Aƒ2ga Ya Y S A Sae Gr A Zsv A A Za R G A Zfa Y Sa E Ef


2


A A A A Za A A A A I A A A A Z A A A A Za A A Aªa A A A Za A A E A A Youtube


Juppe Vs Fillon Que Le Meilleur Gagne Meltingbook


Aµ Aºeœaµa Eœe A Aºa Fa A Aªa A A A E A A A A A A A A M A A A A A E A A A A Va A A Sanathana


Work ศ ภาล ย อโศก S Fire Protection2510


Le Gite Gite Rural En Ardeche A Dornas


Aµa A A A A A A A A


Img 04 Jpg Daisuke Deguchi


2


Aµa A A A A A A A A Oa A A A A Zaµa Eœa A A A A Ra A A Aµa Aªa A A A A A Aªaµa Aµa Aªa Aµa Zaµa A A A A Aµeœa A A A


2


Qhrca Ea Su Tgvwvxr A A A A A Aƒ2ga Ya Y S A Sae Gr A Zsv A A Za R G A Zfa Y Sa E Ef


2


Qhrca Ea Su Tgvwvxr A A A A A Aƒ2ga Ya Y S A Sae Gr A Zsv A A Za R G A Zfa Y Sa E Ef


2


Centrum2 2 Large Centrum Biblioteczno Kulturalne


2


Qhrca Ea Su Tgvwvxr A A A A A Aƒ2ga Ya Y S A Sae Gr A Zsv A A Za R G A Zfa Y Sa E Ef


Automata Theory Set 2 Geeksforgeeks


A A A A 0lexifmm A Aº Az A A 1 A 2 A A I A A A A A Adobe Photoshop Cs6 Windows 10 16 09 34 02 A 0221a A A A A A Aº N V A H H A A A A Xicc Profile Hlino Mntrrgb Xyz Az 1acspmsftiec Srgba A A Hp Cprt


2


2


Bingtech Systems Transitions In Ux Design


2


A Asa A A A A A A A A A A Aºa A A Aµ A A A A A Aµa A A A A A A Aµ 84 A Aºa A A A A A A A A A A A A A A A A A A Aºa A A A Vivid


2


Aµ Aºeœaµa Eœe A Aºa Fa A Aªa A A A E A A A A A A A A M A A A A A E A A A A Va A A Sanathana


Aµa A A A A A A A A Oa A A A A Zaµa Eœa A A A A Ra A A Aµa Aªa A A A A A Aªaµa Aµa Aªa Aµa Zaµa A A A A Aµeœa A A A


後編 読者を引き込む文章とは レビュー時に押さえておきたい8つのポイント Link A 公式ブログ


2


Completar La Escuela En Centroamerica Los Desafios Pendientes By Unicef Lac Issuu


2


Aµa A A A A A A A A Oa A A A A Zaµa Eœa A A A A Ra A A Aµa Aªa A A A A A Aªaµa Aµa Aªa Aµa Zaµa A A A A Aµeœa A A A


Aµa A A A A A A A A Oa A A A A Zaµa Eœa A A A A Ra A A Aµa Aªa A A A A A Aªaµa Aµa Aªa Aµa Zaµa A A A A Aµeœa A A A


A Comparative Word List Of Old Burmese Chinese And Tibetan


Aµa A A A A A A A A Oa A A A A Zaµa Eœa A A A A Ra A A Aµa Aªa A A A A A Aªaµa Aµa Aªa Aµa Zaµa A A A A Aµeœa A A A


Aµ Aºeœaµa Eœe A Aºa Fa A Aªa A A A E A A A A A A A A M A A A A A E A A A A Va A A Sanathana


Qhrca Ea Su Tgvwvxr A A A A A Aƒ2ga Ya Y S A Sae Gr A Zsv A A Za R G A Zfa Y Sa E Ef


Exercicios Resolvidos Sobre Afd E Afn Teoria Da Computacao


Dscf11 Plus Belle La Nuit


Aµ Aºeœaµa Eœe A Aºa Fa A Aªa A A A E A A A A A A A A M A A A A A E A A A A Va A A Sanathana


2


Stenciled Chevron Stripes Go Old School Paint Pattern


A A A A A A A A A Aµa A Badendyck A Aza A A A A A A A A A A A A A A A A A A A A A A A A A A A A Aµa A A A A A A A A A A A A A A A A


Aµ Aºeœaµa Eœe A Aºa Fa A Aªa A A A E A A A A A A A A M A A A A A E A A A A Va A A Sanathana


Qhrca Ea Su Tgvwvxr A A A A A Aƒ2ga Ya Y S A Sae Gr A Zsv A A Za R G A Zfa Y Sa E Ef


2


Qhrca Ea Su Tgvwvxr A A A A A Aƒ2ga Ya Y S A Sae Gr A Zsv A A Za R G A Zfa Y Sa E Ef


A A Aœa A A A Smart City Getting Smartera A A A A A By Rodin Genoff lborg Kommune


Lanzamiento Semenation The Suicide Bitches


Q A A A P P A A A Q A


A Asa A A A A A A Aˆ A A A A A A A A A A Mp3


Qhrca Ea Su Tgvwvxr A A A A A Aƒ2ga Ya Y S A Sae Gr A Zsv A A Za R G A Zfa Y Sa E Ef


Correspondance Des Encodages Utf 8 Iso 59 1


Aµ Aºeœaµa Eœe A Aºa Fa A Aªa A A A E A A A A A A A A M A A A A A E A A A A Va A A Sanathana


aaaaaaaaaaaaaaaaaaaa Agora Vai Futebol Clube


Cursos Online De Comunicaiaaaaaaaaaaaaaaaaa A a aa E a a aaaa E aaa a aaaaaa E aaaaa a aaaaaaaa E aaaaaaa a aaaaaaaaaa E aaaaaaaaa a aaaaaaaaaaaa E aaaaaaaaaaa a aaaaaaaaaaaaaa E


A A A A C A A A Aœa A


2


2


アフィリエイト初心者の稼げる案件の選び方とは Seo編 Link A 公式ブログ


Aµa A A A A A A A A Oa A A A A Zaµa Eœa A A A A Ra A A Aµa Aªa A A A A A Aªaµa Aµa Aªa Aµa Zaµa A A A A Aµeœa A A A


A C A A A A A A A A A A A A C A Aˆa C A A A A A A A A A A A A A Aˆ International Stainless Steel Forum


Qhrca Ea Su Tgvwvxr A A A A A Aƒ2ga Ya Y S A Sae Gr A Zsv A A Za R G A Zfa Y Sa E Ef


Aµ Aºeœaµa Eœe A Aºa Fa A Aªa A A A E A A A A A A A A M A A A A A E A A A A Va A A Sanathana


Aµa A A A A A A A A Oa A A A A Zaµa Eœa A A A A Ra A A Aµa Aªa A A A A A Aªaµa Aµa Aªa Aµa Zaµa A A A A Aµeœa A A A


Aµa A A A A A A A A Oa A A A A Zaµa Eœa A A A A Ra A A Aµa Aªa A A A A A Aªaµa Aµa Aªa Aµa Zaµa A A A A Aµeœa A A A


2


Aµ Aºeœaµa Eœe A Aºa Fa A Aªa A A A E A A A A A A A A M A A A A A E A A A A Va A A Sanathana


2


Aµ Aºeœaµa Eœe A Aºa Fa A Aªa A A A E A A A A A A A A M A A A A A E A A A A Va A A Sanathana


Aµ Aºeœaµa Eœe A Aºa Fa A Aªa A A A E A A A A A A A A M A A A A A E A A A A Va A A Sanathana


Qhrca Ea Su Tgvwvxr A A A A A Aƒ2ga Ya Y S A Sae Gr A Zsv A A Za R G A Zfa Y Sa E Ef


16 Mar By Myanmar Newspaper Issuu


2


Exercicios Resolvidos Sobre Afd E Afn Teoria Da Computacao


Orig Jerwin Lasin


Aµ Aºeœaµa Eœe A Aºa Fa A Aªa A A A E A A A A A A A A M A A A A A E A A A A Va A A Sanathana


コメント
コメントを投稿